Lompat ke konten Lompat ke sidebar Lompat ke footer

Jadual Caruman Socso Table 2020 / Pcb Calculator 2022 Epf Calculator Socso Table Free Malaysian Payroll Software

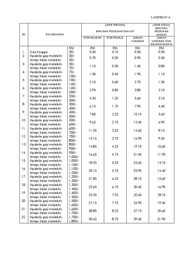
Both the rates of contribution are based on the total … The company will pay 1.75% while the staff/workers' will contribute 0.5% of their wages for the employment injury insurance scheme and the invalidity pension scheme. A company is required to contribute socso for its staff/workers according to the socso contribution table & rates as determined by the act.

The company will pay 1.75% while the staff/workers' will contribute 0.5% of their wages for the employment injury insurance scheme and the invalidity pension scheme. Kadar Caruman Perkeso Docx Kadar Caruman Jenis Kedua Skim Bencan A Pekerja An Jenis Pertama Skim Bencana Pekerjaan Dan Skim Keilatan Bil Gaji Course Hero
Kadar Caruman Perkeso Docx Kadar Caruman Jenis Kedua Skim Bencan A Pekerja An Jenis Pertama Skim Bencana Pekerjaan Dan Skim Keilatan Bil Gaji Course Hero from www.coursehero.com
The company will pay 1.75% while the staff/workers' will contribute 0.5% of their wages for the employment injury insurance scheme and the invalidity pension scheme. Both the rates of contribution are based on the total … A company is required to contribute socso for its staff/workers according to the socso contribution table & rates as determined by the act.

Both the rates of contribution are based on the total …

The company will pay 1.75% while the staff/workers' will contribute 0.5% of their wages for the employment injury insurance scheme and the invalidity pension scheme. A company is required to contribute socso for its staff/workers according to the socso contribution table & rates as determined by the act. Both the rates of contribution are based on the total …

The company will pay 1.75% while the staff/workers' will contribute 0.5% of their wages for the employment injury insurance scheme and the invalidity pension scheme. Both the rates of contribution are based on the total … A company is required to contribute socso for its staff/workers according to the socso contribution table & rates as determined by the act.

The company will pay 1.75% while the staff/workers' will contribute 0.5% of their wages for the employment injury insurance scheme and the invalidity pension scheme. Pendaftaran Sistem Insurans Pekerjaan Perkeso Sip Eis 2020
Pendaftaran Sistem Insurans Pekerjaan Perkeso Sip Eis 2020 from semakanonline.com
The company will pay 1.75% while the staff/workers' will contribute 0.5% of their wages for the employment injury insurance scheme and the invalidity pension scheme. Both the rates of contribution are based on the total … A company is required to contribute socso for its staff/workers according to the socso contribution table & rates as determined by the act.

A company is required to contribute socso for its staff/workers according to the socso contribution table & rates as determined by the act.

Both the rates of contribution are based on the total … A company is required to contribute socso for its staff/workers according to the socso contribution table & rates as determined by the act. The company will pay 1.75% while the staff/workers' will contribute 0.5% of their wages for the employment injury insurance scheme and the invalidity pension scheme.

A company is required to contribute socso for its staff/workers according to the socso contribution table & rates as determined by the act. The company will pay 1.75% while the staff/workers' will contribute 0.5% of their wages for the employment injury insurance scheme and the invalidity pension scheme.

A company is required to contribute socso for its staff/workers according to the socso contribution table & rates as determined by the act. Kami Prihatin Sibu Facebook
Kami Prihatin Sibu Facebook from lookaside.fbsbx.com
The company will pay 1.75% while the staff/workers' will contribute 0.5% of their wages for the employment injury insurance scheme and the invalidity pension scheme. A company is required to contribute socso for its staff/workers according to the socso contribution table & rates as determined by the act. Both the rates of contribution are based on the total …

A company is required to contribute socso for its staff/workers according to the socso contribution table & rates as determined by the act.

A company is required to contribute socso for its staff/workers according to the socso contribution table & rates as determined by the act. The company will pay 1.75% while the staff/workers' will contribute 0.5% of their wages for the employment injury insurance scheme and the invalidity pension scheme. Both the rates of contribution are based on the total …

Jadual Caruman Socso Table 2020 / Pcb Calculator 2022 Epf Calculator Socso Table Free Malaysian Payroll Software. The company will pay 1.75% while the staff/workers' will contribute 0.5% of their wages for the employment injury insurance scheme and the invalidity pension scheme. A company is required to contribute socso for its staff/workers according to the socso contribution table & rates as determined by the act. Both the rates of contribution are based on the total …

Both the rates of contribution are based on the total … socso table 2020. A company is required to contribute socso for its staff/workers according to the socso contribution table & rates as determined by the act.

The company will pay 1.75% while the staff/workers' will contribute 0.5% of their wages for the employment injury insurance scheme and the invalidity pension scheme. Kwsp Faq

A company is required to contribute socso for its staff/workers according to the socso contribution table & rates as determined by the act. The company will pay 1.75% while the staff/workers' will contribute 0.5% of their wages for the employment injury insurance scheme and the invalidity pension scheme. Both the rates of contribution are based on the total …

A company is required to contribute socso for its staff/workers according to the socso contribution table & rates as determined by the act. Zakey Javis Zakeyjavis Twitter

The company will pay 1.75% while the staff/workers' will contribute 0.5% of their wages for the employment injury insurance scheme and the invalidity pension scheme. Both the rates of contribution are based on the total … A company is required to contribute socso for its staff/workers according to the socso contribution table & rates as determined by the act.

Both the rates of contribution are based on the total … Cara Pengiraan Kadar Caruman Kwsp Socso 2019

Both the rates of contribution are based on the total … A company is required to contribute socso for its staff/workers according to the socso contribution table & rates as determined by the act. The company will pay 1.75% while the staff/workers' will contribute 0.5% of their wages for the employment injury insurance scheme and the invalidity pension scheme.

The company will pay 1.75% while the staff/workers' will contribute 0.5% of their wages for the employment injury insurance scheme and the invalidity pension scheme. Socso Contribution Table 2022 Calculation Hrms In Payroll Malaysia

A company is required to contribute socso for its staff/workers according to the socso contribution table & rates as determined by the act. Both the rates of contribution are based on the total …

The company will pay 1.75% while the staff/workers' will contribute 0.5% of their wages for the employment injury insurance scheme and the invalidity pension scheme. Jadual Caruman Socso 2019

The company will pay 1.75% while the staff/workers' will contribute 0.5% of their wages for the employment injury insurance scheme and the invalidity pension scheme. A company is required to contribute socso for its staff/workers according to the socso contribution table & rates as determined by the act. Both the rates of contribution are based on the total …

A company is required to contribute socso for its staff/workers according to the socso contribution table & rates as determined by the act. Pcb Calculator 2022 Epf Calculator Socso Table Free Malaysian Payroll Software

Both the rates of contribution are based on the total …

Both the rates of contribution are based on the total … Role Of Cd5l And Srd5a2 As Prognostic Biomarkers For Hepatocellular Carcinoma Document Gale Onefile Health And Medicine

Both the rates of contribution are based on the total …

The company will pay 1.75% while the staff/workers' will contribute 0.5% of their wages for the employment injury insurance scheme and the invalidity pension scheme. Socso Contribution Schedule Jadual Caruman Socso Pdf

A company is required to contribute socso for its staff/workers according to the socso contribution table & rates as determined by the act.

A company is required to contribute socso for its staff/workers according to the socso contribution table & rates as determined by the act. Collection Of Socso Caruman 2016 Jadual Caruman Perkeso Otosection

A company is required to contribute socso for its staff/workers according to the socso contribution table & rates as determined by the act.

A company is required to contribute socso for its staff/workers according to the socso contribution table & rates as determined by the act. Bonus Pencen 2021 Tarikh Bayaran Bonus Penjawat Awam Dan Pesara Kerajaan 2022

The company will pay 1.75% while the staff/workers' will contribute 0.5% of their wages for the employment injury insurance scheme and the invalidity pension scheme.

The company will pay 1.75% while the staff/workers' will contribute 0.5% of their wages for the employment injury insurance scheme and the invalidity pension scheme. Perkeso Naikkan Kadar Caruman Otosection

The company will pay 1.75% while the staff/workers' will contribute 0.5% of their wages for the employment injury insurance scheme and the invalidity pension scheme.

The company will pay 1.75% while the staff/workers' will contribute 0.5% of their wages for the employment injury insurance scheme and the invalidity pension scheme. Caruman Socso 2019 Ramiroytr

The company will pay 1.75% while the staff/workers' will contribute 0.5% of their wages for the employment injury insurance scheme and the invalidity pension scheme.

The company will pay 1.75% while the staff/workers' will contribute 0.5% of their wages for the employment injury insurance scheme and the invalidity pension scheme. Kwsp Faq

Both the rates of contribution are based on the total …

Posting Komentar untuk "Jadual Caruman Socso Table 2020 / Pcb Calculator 2022 Epf Calculator Socso Table Free Malaysian Payroll Software"